NEED HELP?
Edexcel iGCSE digital textbooks
From the makers of Grade Gorilla.

GGebooks.com

Edexcel iGCSE Physics book cover  Edexcel iGCSE Physics book cover

1. Mars has a smaller gravitational field strength at the surface than the Earth. This is because...

  • A) the mass of Mars is smaller than Earth.
  • B) Mars has a very thin atmosphere.
  • C) Mars has no water on the surface.
  • D) Mars orbits the Sun at a slower speed than Earth.
Planet Mars

2. Which of the following answers best describes the orbits of the Earth, the (Earth's) Moon and a comet?

 
Near circular orbit
Highly elliptical (non-circular) orbit
A.
Earth
Moon, a comet
B.
Earth, Moon
a comet
C.
a comet, Moon
Earth
D.
Moon
a comet, Earth

3. Which of the following gives the sizes of astronomical objects in order of increasing size?

  • A) Solar system, universe, galaxy.
  • B) Universe, galaxy, solar system.
  • C) Solar system, galaxy, universe.
  • D) Galaxy, solar system, universe.

4. Approximately how many stars are in a typical galaxy?

  • A) Hundreds of stars.
  • B) thousands of stars.
  • C) millions of stars.
  • D) billions of stars.

5. What is the name of our own galaxy containing the Sun?

  • A) The Andromeda galaxy.
  • B) The Milky Way galaxy.
  • C) The Orion galaxy.
  • D) The Hubble galaxy.

6. Which of these statements is correct?

  • A). Planets orbit moons, planets orbit stars.
  • B). Moons orbit planets, stars orbit planets.
  • C). Moons orbit stars, stars orbit planets.
  • D). Moons orbit planets, planets orbit stars.
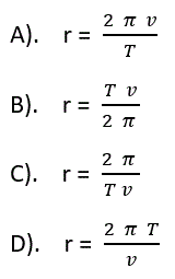
7. The formula on the right can be used to calculate the orbital velocity v of any object. It can be re-arranged to find the radius of the orbit.

Which of the following has been correctly re-aranged?

   

8. The radius of the Earth's orbit is about 150 million kilometres. In standard form, and given in metres, this is ..

  • A). 1.5 x 108 m
  • B). 1.5 x 1010 m
  • C). 1.5 x 1011 m
  • D). 1.5 x 1012 m

9. The Earth orbits the Sun in 1 year, which is 3.2 x 107 seconds. Using this figure, along with information given in questions 7 and 8, what is the orbital velocity of the Earth?

  • A). 4.6 x 103 m/s
  • B). 29 m/s 103
  • C). 4.6 m/s 103
  • D). 2.9 x 104 m/s